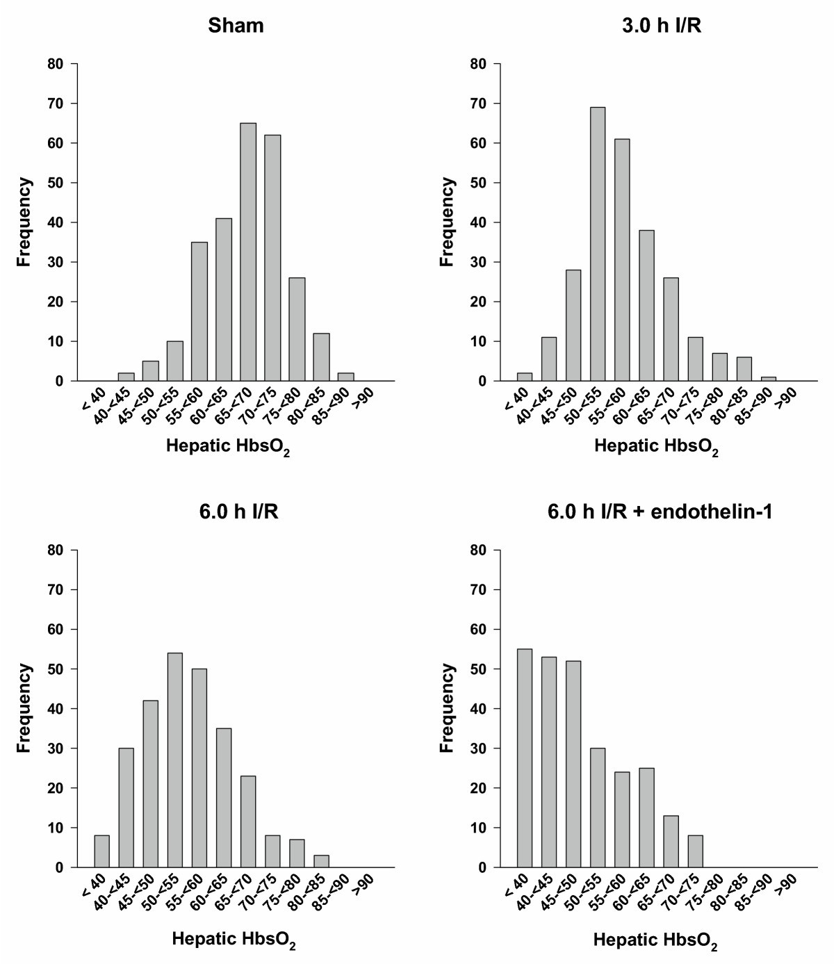
Figure 1From: A remission spectroscopy system for in vivomonitoring of hemoglobin oxygen saturation in murine hepatic sinusoids, in early systemic inflammationSinusoidal haemoglobin oxygen saturation (HbsO 2 ). At least 35 different observation points of the left liver lobe per animal were examined. The frequency distributions of all examined HbsO2 values per group are shown.Back to article page